Bs. As. (26-5-14): El ministro de Agricultura, Ganadería y Pesca de la Nación, Carlos Casamiquela, mantendrá una serie de reuniones de trabajo el día miércoles 28 de mayo en la ciudad de Goya. En la oportunidad, se realizarán encuentro entre los distintos organismos dependientes de esa cartera en la provincia de Corrientes, además de las organizaciones de agricultura familiar, entre otros.
El Ministro de Agricultura, Ganadería y Pesca de la Nación Carlos Casamiquela viene a Goya con Camau para la entrega de 26 programas productivos para 24 municipios por más de 20 Millones de pesos.
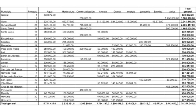
Fruto de gestiones que viene realizando Camau con su equipo de trabajo, se concretarán en la Provincia de Corrientes 26 programas de Agricultura Periurbana con el objetivo del fortalecimiento de los pequeños productores en todas las etapas productivas incluida la comercialización. Buscando asegurar en la mesa de los correntinos productos de calidad y a buen precio.
Agricultura Periurbana es un programa que tuvo un enorme éxito durante la gestión de Camau, profundizándose sus beneficios en la gestión actual en la Capital.
La inversión total supera los 20 millones de pesos distribuidos en 24 municipios y se hará la entrega de los mismos a los intendentes en la ciudad de Goya el día miércoles por la mañana.
Los principales ejes de trabajo son:
La provisión de agua para consumo y riego, más de 5,7 MILLONES en 20 proyectos, adquiriendo equipamiento y materiales para llevar adelante las perforaciones, así como también sistemas de riego.
También la provisión de energía resulta un factor clave con 10 intervenciones por 834.000 pesos.
Para Horticultura 17 proyectos con más de 3,5 millones de pesos; para llevar adelante la comercialización de los productos en mercados populares 7 proyectos por 2,3 millones, para el fortalecimiento avícola y granja 29 proyectos por casi 4 millones de pesos.
La primera actividad oficial está programada para las 9.30 de la mañana en el Teatro Municipal, donde se presentarán las distintas actividades que se desarrollarán durante toda la jornada. A las 10.30, el ministro Casamiquela junto a sus funcionarios visitarán la plaza Mitre, donde se llevará a cabo un jornada de Mercado Popular.
En tanto que a partir de las 13, se realizarán talleres de trabajo en los que participarán agricultores familiares, técnicos de los distintos organismos junto a representantes de distintos municipios. Los ejes sobre los que se trabajará están relacionados, territorios y políticas públicas, producción valor agregado y abastecimiento local.
El objetivo de estos talleres será debatir y elaborar propuestas de trabajos, las cuales serán compartidas con Casamiquela y los integrantes de su gabinete.
Lunes, 26 de mayo de 2014